e的-3lnx次方积分是e^lnx²=x²。
∵lne=1。
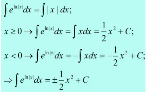
∴ln(e^lnx)=lnx*lne=lnx。
∴e^lnx=x (x>0)。
∫e^(lnx)dx=∫xdx=1/2x²+c(x>0)。
用到分部积分法。设函数和u,v具有连续导数,则d(uv)=udv+vdu。

一个数的零次方
任何非零数的0次方都等于1。
通常代表3次方。
5的3次方是125,即5×5×5=125。
5的2次方是25,即5×5=25。
5的1次方是5,即5×1=5。
e的-3lnx次方积分是e^lnx²=x²。
∵lne=1。
∴ln(e^lnx)=lnx*lne=lnx。
∴e^lnx=x (x>0)。
∫e^(lnx)dx=∫xdx=1/2x²+c(x>0)。
用到分部积分法。设函数和u,v具有连续导数,则d(uv)=udv+vdu。

一个数的零次方
任何非零数的0次方都等于1。
通常代表3次方。
5的3次方是125,即5×5×5=125。
5的2次方是25,即5×5=25。
5的1次方是5,即5×1=5。